どうしても自分流で解いて欲しいM君
「1対1対応の数学III(2次曲線・複素数編)」(東京出版)を勉強中のM君、P51の問題の解答が思いつきませんでした。
【問題】

彼は、
と私に質問。
私は「その方法で考えたことがないので、断言はできないけど解けると思うよ。いっぺんやってみればいいじゃないですか」
M君「実はやってみたけれど、うまく行きませんでした」
キノシタ「じゃあ、ダメなのかもしれませんね。あるいはかなりやっかいな式変形になるのでは……? 編集部の解答もそれほど着想困難でもないでしょうから、この解法でいいのではないでしょうか」
M君「僕の方法ではダメなんですか! ぼくはうまくいかなかったけれど、先生も一度やってみてください」とあくまで自分の発想で解きたいようです。
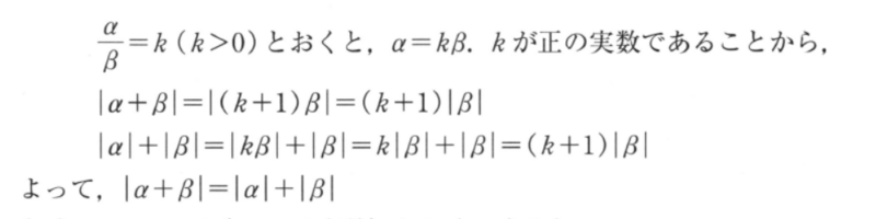
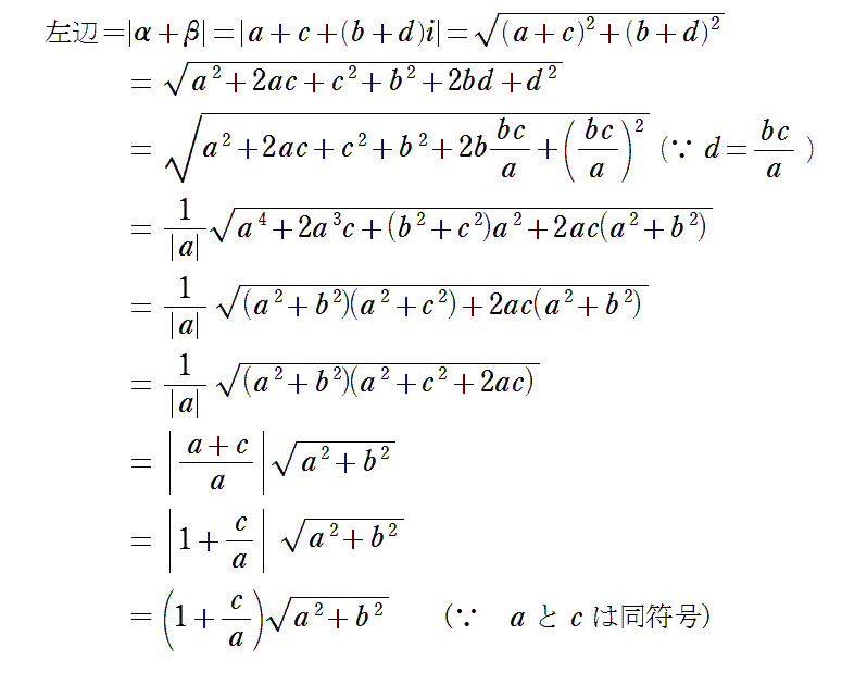
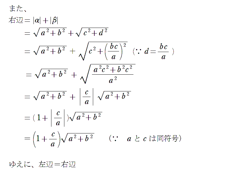
彼のリクエストに応えてやってみました。aとcが同符号である(ac>0)ことがポイントです

細かい詰めはさらに必要ですが、なんとか彼の期待に応えられました。ヤレヤレ。
【追記2020/11/18】 TTT さんのコメントを受けて
「3年前の記事をていねいにご覧いただきありがとうございます! コメントのご指摘のとおり、式変形に一部誤りがございます。近日中に、訂正したものもUPいたしたいと思います。しばらくお待ちください。
また、「a≠0とすると、という条件が必要なはずなので、場合分けでa=0とすると、の場合も調べる必要があると思います。」も当然でして、正式な答案の場合は必ず述べておく必要がありますね。キノシタ語録≪うっかり文字で割るな!≫であります。引き続き、今後とも誤記、考え違いなどチェックくださいますようお願いいたします」
【追記2020/12/22】 TTT さんのコメントを受けて 訂正版です






